営業戦略コンサルタント

弊社に何ができるかですが、國府個人による実績がメインになると考えます。国内外で勤務した会社、自分で設立した会社とあります。今回は自分で設立した会社での経験を記述しました。

また、コンサルタントだけではなく、資金援助も検討いたします。条件は、エレクトロニクス分野で、東京都中小企業振興公社等の開発助成金事業に認定されている製品に限らせていただきます。資金援助は、コンサルタント契約後、数ヶ月の信頼関係構築後に検討いたします。

ネットビジョン社の企業理念は「大企業の参入しないニッチなエリアで世界一になる」です。ターゲットを絞り込んでいる為、分かり難い製品となっているようです。しかし、会社方針は「弊社は営業の会社なので、技術部も含め全員営業」「黙っていても売れる製品を開発するのが技術部の責任、それを3倍にするのが営業の責任」と日頃から社内に言い聞かせていました。この方針が功を奏し、コロナ下では営業が停滞する中、業績は伸びています。

ネットビジョン社製品はなぜ売れているか、そしてどの様に今後成長できるか、下記にまとめてみました。

経営戦略のまとめ

01

経験・実績の概要

前職の株式会社ネットビジョンは2001年に設立し、当初は携帯電話、スマートホン用のカメラ検査装置を開発販売していました。用途としては、カメラ開発、検査、生産と幅広く使用されました。特に弊社製品が広く使用されるようになったのは、顧客カメラの評価ボードとして、ソニー社、パナソニック社、NECEL社等が彼らの顧客に配布したことです。当時は、年間700セット強の販売をしていました。
現在は、携帯関係から車載カメラ、ECU、走行シミュレーション分野に移行し、ビジネス形態は同様で、各社は弊社製品を自社評価ボードとして、彼らの顧客に配布しております。これらの顧客は、国内ばかりではなく全世界に配布されております。現在は、毎年2,000セット程度の販売となります。


02

成長を支えた営業・製品戦略

ネットビジョン社の売上の80%は、大手10社前後で占められています。弊社の顧客ベースは、通常アクセスの難しい自動運転関連の開発者となります。
営業は数名ですが、顧客が全世界に販売している為、画像関係の会社から常に新規引き合いがきています。2019年からはデータベースを再構築し、顧客、部署、担当者、購入履歴が全て簡単に利用できるようになっています。世界展開したことにより、アップル社、META社等のHDR(ヘッドマウントディスプレィ)の開発装置としても使用されています。

ネットビジョン社製品は、顧客と共同開発した製品がほとんどを占めます。カメラのテスターとしてはテラダイン社などのテスターが有名ですが、価格は1億円前後します。このテスター機能を絞り込んで、卓上で使用出来るようにしたのがSVシリーズです。カメラ検査用イメージレコーダーSVIシリーズは、ソニー社との共同開発、DSP(Digital Signal Processor)検証ツールのイメージジェネレーターSVOシリーズは、パナソニック社との共同開発です。
実際に使用する技術者との共同開発ですので、ハードウェアだけではなくソフトウェアも、使用に最適な形(マンマシンインタフェース)で自社開発されています。
また、弊社の基礎技術の一部は「車載画像及び同期データのデバッグ手法」として、2020年9月 特許査定、2021年5月 国際公報に公開しています。


03

中長期計画(5年計画)

ネットビジョン社では、定期的に5年計画を立案していました。下記はその例題ですが、表に落とせば、毎回それ以上の実績を出しています。


04

数値管理と営業プロセス

日本企業は、数値統計的にプランを管理していくのが苦手のようです。私は外資系企業の経験が長くスタガーチャートとパイプラインが当たり前の仕事となっています。

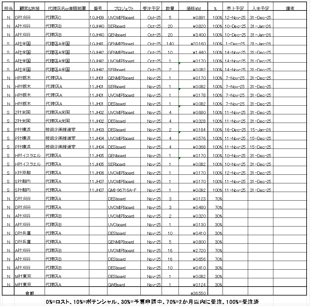
会社全体、部門、個人で管理する計画表です。月別に実績と受注予定が記入されています。この表ですと10月の実績が確定した時点で、11月、12月の受注予定を記入します。月別、四半期別、累積の達成率が一目でわかります。売り上げと回収も営業の仕事ですので、担当者別に管理しています。

営業担当者が日々管理する管理表です。受注予定、売上予定、入金予定まで含んだファイルです。
上司は、部下たちのファイルをまとめて管理します。パイプラインの入力は個人により精度の差が出ます。この辺りを考慮した、上司の目標設定が重要となります。


05

社内のシステム管理

前職では、販売管理および就業管理において、Claris社のFileMakerを使用した自社開発のシステムを運用していました。
売上規模の拡大に伴い販売管理システムの導入を検討した際、市販のシステムは従来の管理方法に適合せず、導入する場合は出来合いの仕様に合わせて大幅なオペレーションの見直しが必要でした。そこで、比較的容易にデータベースを開発できるFileMakerを用い、従来の管理方法に合った独自の管理システムを内製することで、この課題を解消しました。
会社の成長に伴い、管理したい項目やシステムに求める機能は増えていきましたが、自社開発であるためスピーディーに機能追加や改修に対応することができました。
また、従来Excelで管理していた週報や勤怠についても、FileMakerを用いた独自の勤怠管理システムを内製することで、従来のオペレーションをほとんど変えることなく、効率的な管理を実現しました。